專注聯軸器研發與制造 打造聯軸器行業領軍品牌
套筒聯軸器屬于剛性聯軸器,它通過聯軸套連接兩軸,所連接兩軸的直徑可以相同,也可以不相同,聯軸套與軸之間可以通過銷連接傳遞轉矩,也可以通過鍵連接或花鍵連接傳遞轉矩。套筒聯軸器結構簡單,制造方便,成本低,占用徑向尺寸小,但是裝配和拆卸都不方便。套筒聯軸器適用于低速、輕載、工作平穩的連接。


套筒聯軸器是利用公用套筒,并通過鍵、花鍵或錐銷等剛性聯接件,以實現兩軸的聯。套筒聯軸器的結構簡單,制造方便,成本較低,徑向尺寸小,但裝拆不方便,需使軸作軸向移動。短適用于低速、輕載、無沖擊載荷,工作平衡和上尺寸軸的聯接。最大工作轉速一般不超過為25r/min。套筒聯軸器不具備軸向、徑向和角向補償性能。

套筒聯軸器、套筒連軸器
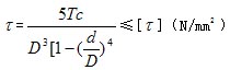
式中 Tc——計算轉矩,Nmm; D——套筒外徑,mm; d——軸的直徑,mm,當用花鍵聯接時,d取花鍵的平均直徑; [ ]——套筒的許用剪應力,N/mm2,45號鋼制套筒,可取[ ]=35~40N/ mm2 。圓錐銷聯接驗算圓錐銷的剪切強度:

套筒聯軸器、套筒連軸器式中 d1——圓錐銷直徑,mm; [ ]——圓錐銷的許用剪應力,N/mm2,可取[ ]=0.25 , 為銷材料的屈服極限。
套筒聯軸器是用一個整體套筒以鍵、花鍵、錐銷或過盈配合實現兩軸連接的聯軸器。它具有徑向尺寸小、結構簡單、成本低等優點;但裝拆時須軸向移動所連的軸,會帶來不方便。當采用鍵或花鍵連接時,應采用錐端緊定螺釘作軸向固定。當軸的直徑d>60 時,宜用內六角錐端緊定螺釘作軸向固定。當采用圓錐銷連接時,不需采用緊定螺釘。緊定螺釘和圓錐銷的長度應與套筒的外徑相同。為了保證連接具有一定的對中精度和便于套筒的拆裝,套筒與軸通常可采用H7/k6配合。套筒聯軸器通常適宜用在工作平穩,無沖擊載荷的條件下,最高工作轉速一般不超過250。軸的直徑一般小于100mm,采用半圓錐鍵連接時,軸徑小于35mm。套筒聯軸器所能傳遞的轉矩為,采用花鍵連接時不超過1000N.M;采用平鍵連接時不超過5600N.m;采用圓錐銷連接時不超過4000N.M;采用半圓錐連接時不超過450N.M。
套筒的材料通常為35鋼或45# 鋼,尺寸大時也可采用鑄鐵制造。采用花鍵連接時,常需經調質處理至240HBS以上。